Superannuation Industry (Supervision) Regulations 1994

PART 9AB - ANNUAL PERFORMANCE ASSESSMENTS ETC.  

Division 9AB.1 - Preliminary  

REGULATION 9AB.5A   MEANING OF INDEX  

9AB.5A(1)    
Index , of a covered asset class for a quarter, means the amount calculated using the following formula, rounded to 10 decimal places (rounding up if the eleventh decimal place is 5 or more):


Value at the end of the quarter of the assumed index for the covered asset class 1
Value at the end of the previous quarter of the assumed index for the covered asset class

Note:

For a covered asset class for a quarter that is identified in item 24, 25 or 26 of the table in regulation 9AB.17 (alternatives, defensive alternatives or growth alternatives asset class), see subregulations (4) to (7) of this regulation.



Late reporting of unlisted infrastructure indices

9AB.5A(2)    
Subregulation (3) applies in relation to a covered asset class for a quarter if:

(a)    the covered asset class is identified in item 14 or 15 of the table in regulation 9AB.17 ; and

(b)    the value at the end of the quarter of the assumed index for the covered asset class is not publicly available earlier than 36 days after the end of the financial year in which the quarter occurs.

9AB.5A(3)    
For the purposes of calculating the index of the covered asset class for the quarter:

(a)    treat the value at the end of the quarter of the assumed index for the covered asset class as being the value at the end of the quarter of the assumed index for the covered asset class identified in item 10 of the table in regulation 9AB.17 ; and

(b)    treat the value at the end of the previous quarter of the assumed index for the covered asset class as being the value at the end of the previous quarter of the assumed index for the covered asset class identified in item 10 of the table in regulation 9AB.17 .

Index for alternatives, defensive alternatives and growth alternatives

9AB.5A(4)    
Subregulations (5) , (6) and (7) apply in relation to a covered asset class for a quarter if the covered asset class is identified in item 24, 25 or 26 of the table in regulation 9AB.17 .

9AB.5A(5)    
Despite subregulation (1) , the index of the covered asset class for a quarter is the sum of the following:

(a)    the covered asset class ' s IEH percentage (see subregulation (6) ) of the adjusted index (see subregulation (7) ) of the covered asset class identified in item 2 (International Equity (hedged)) of the table in regulation 9AB.17 for the quarter;

(b)    the covered asset class ' s IEU percentage (see subregulation (6) ) of the adjusted index (see subregulation (7) ) of the covered asset class identified in item 5 (International Equity (unhedged)) of that table for the quarter;

(c)    the covered asset class ' s IFI percentage (see subregulation (6) ) of the adjusted index (see subregulation (7) ) of the covered asset class identified in item 19 (International Fixed Interest) of that table for the quarter.

9AB.5A(6)    
The IEH percentage , IEU percentage and IFI percentage of the covered asset class mentioned in subregulation (4) is that identified in the item of the following table that has the covered asset class item number and covered asset class description that corresponds to the covered asset class:


Component percentages for calculation of adjusted index for alternatives
Covered asset class item Covered asset class description IEH percentage IEU percentage IFI percentage
24 Alternatives 25% 25% 50%
25 Defensive alternatives 12.5% 12.5% 75%
26 Growth alternatives 37.5% 37.5% 25%


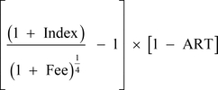
9AB.5A(7)    
For the purposes of paragraphs (5)(a) , (b) and (c) , work out the adjusted index of a covered asset class for a quarter using the following formula, rounded to 10 decimal places (rounding up if the eleventh decimal place is 5 or more):

9AB.5A_7_formula
          

where:

ART
means the assumed rate of tax for the quarter for the covered asset class.

fee
means the assumed annual fee for the quarter for the covered asset class.

index
means the index of the covered asset class for the quarter.





This information is provided by CCH Australia Limited Link opens in new window. View the disclaimer and notice of copyright.