A New Tax System (Goods and Services Tax) Act 1999

Chapter 4 - The special rules  

Part 4-2 - Special rules mainly about supplies and acquisitions  

Note:

The special rules in this Part mainly modify the operation of Part 2-2 , but they may affect other Parts of Chapter 2 in minor ways.

Division 79 - Compulsory third party schemes  

Subdivision 79-D - Compulsory third party scheme decreasing adjustments worked out using applicable average input tax credit fraction  

79-95   How to work out decreasing adjustments using the applicable average input tax credit fraction  

(1)    
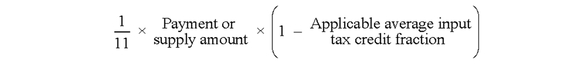
If an * operator of a * compulsory third party scheme has a * decreasing adjustment in relation to a payment or supply that is to be worked out using the applicable * average input tax credit fraction , the amount of the * decreasing adjustment is as follows.

(2)    


The amount is worked out using the formula:
Formula
          

where:

applicable average input tax credit fraction
is the * average input tax credit fraction for the * compulsory third party scheme concerned for the * financial year in which:


(a) if the payment or supply is a * CTP compensation payment or supply - the accident or other incident to which the claim relates happened; or


(b) if the payment or supply is a * CTP ancillary payment or supply - the payment or supply was made; or


(c) if the payment or supply is a payment or supply to which section 79-15 applies - the accident or other incident to which the claim relates happened.

payment or supply amount
is the amount worked out in accordance with subsection (3).



Payment or supply amount

(3)    


The payment or supply amount mentioned in subsection (2) is worked out using this method statement. Method statement

Step 1.

Add together:

  • (a) the sum of the payments of * money , or * digital currency, (if any) that are included in the payment or supply; and
  • (b) the * GST inclusive market value of the supplies (if any) made by the * operator that are included in the payment or supply (other than supplies that would have been * taxable supplies but for section 78-25 or 79-60 ).

  • Step 2.

    If, in relation to the payment or supply, any payments of an excess were made to the * operator , subtract from the step 1 amount the sum of all those payments (except to the extent that they are payments of excess to which section 78-18 or 79-55 applies).


    Step 3.

    Except where the payment or supply is a * CTP ancillary payment or supply , multiply the step 1 amount, or (if step 2 applies) the step 2 amount, by the following:


                                          11                                      
    11 − Applicable average input tax credit fraction

    where:

    applicable average input tax credit fraction has the meaning given by subsection (2).



    Reduction for non-creditable insurance events

    (4)    
    The amount of the * decreasing adjustment under subsection (1) is reduced to the extent (if any) that the payment or supply relates to one or more * non-creditable insurance events .




    This information is provided by CCH Australia Limited Link opens in new window. View the disclaimer and notice of copyright.